Skip to content
No results
  • Council & Administration
  • Operations
  • Bulletins / Notices / Events
  • Local Businesses
  • Lost Animals
  • Contact & Forms
Village of Loon Lake, Saskatchewan
  • Council & Administration
  • Operations
  • Bulletins / Notices / Events
  • Local Businesses
  • Lost Animals
  • Contact & Forms
Village of Loon Lake, Saskatchewan

RCMP Community Update

  • January 12, 2026
  • Bulletin

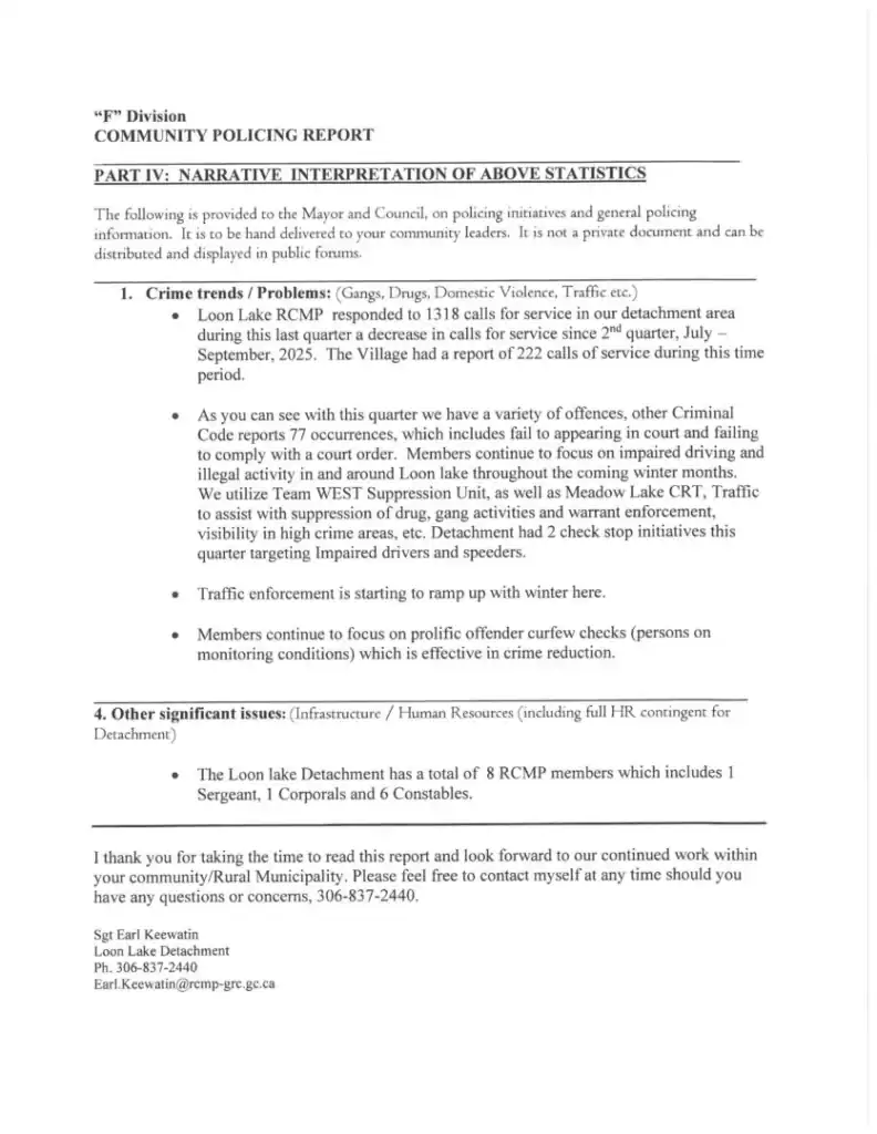
Village of Loon Lake RCMP Community Update October to December 2025

Previous Post 2026 Census Job Opportunity
Next Post Snow Removal Notice
  • Address: Box 40 Loon Lake, SK S0M 1L0
  • Phone: 306.837.2076
  • Fax: 306.837.2282
  • Email: info@villageofloonlake.ca

We welcome everyone to sign up for emails regarding Important Notices, and Quarterly Newsletters from the Village of Loon Lake.

If you want to consent to receiving other email from the Village of Loon Lake, please complete and submit this form.

Copyright © 2026 Village of Loon Lake, Saskatchewan

Privacy Policy

Websmithian Logo Tiny.png